- Biostatistician / computational biologist
01/11/2022 – present
PRBB - Barcelona Biomedical Research Park, Barcelona
PRBB is a large scientific infrastructure, located next to the Hospital del Mar in Barcelona (Spain), which brings together six closely coordinated public research centres. Each centre is independent and the PRBB Consortium is responsible for managing the building and services, as well as coordinating the scientific activity common to all centres.
Achievements
-
Co-director of a doctoral thesis granted by the Instituto de Salud Carlos III titled “Age-related cognitive impairment: Evaluation of metabolomic biomarkers and study of the influence of lifestyle” to investigate early biomarkers predicting impairment.
-
First-prize oral communication in the XXV Congreso Nacional de la Asociación Española de Coloproctología (Pamplona, 2022). Co-first author of a work on early biomarkers predicting postoperative complications after colorectal cancer surgery, published in the International Journal of Surgery (IF 2023: 15.3, ranking Surgery 2/212. DOI: 10.1097/js9.0000000000000965).
https://www.parcdesalutmar.cat/es/noticies/view.php?ID=1805
Figure. Polar plot illustrating ORs and 95% CI of significant markers for dichotomized postoperative complications according to Comprehensive Complication Index.
Figure. Predictive ability of dichotomized metabolic markers for Comprehensive Complication Index. The area under the curves (AUCs) from the receiver operating characteristic (ROC) analysis were extracted from adjusted logistic models (see section 2.3. Statistical analysis and Table 3 of DOI: 10.1097/js9.0000000000000965).

- Related work on early biomarkers of future colorectal cancer recurrence, selected for “best abstracts” section in the 18th Scientific Conference of the European Society of Coloproctology (Vilnius, Lithuania, 2023).
https://onlinelibrary.wiley.com/doi/10.1111/codi.16718?af=R
Figure. Hazard ratios polyamines pathway and CRC, using weighted Cox regression.
Figure. Kaplan-Meier plot of survival without CRC recurrence.

- Postdoctoral researcher
Juan de la Cierva Program
01/04/2020 - 30/09/2022
IMIM - Hospital del Mar Medical Research Institute
The Hospital del Mar Institute for Medical Research (IMIM), a Spanish public organisation created in 1947 and dedicated to scientific research in the field of biomedicine and health sciences, is located in the Barcelona Biomedical Research Park. In December 2013 it became one of the health research institutes officially accredited by the Instituto de Salud Carlos III.
https://www.imim.es/en_index.html
Achievements
Francisco was involved in several projects as lead biostatistician. In a European project Francisco performed metabolomic and integrated network analysis, published in Biomedicine & Pharmacotherapy (IF 2022: 7.5, ranking Pharmacology and Pharmacy 23/277, 10.1016/j.biopha.2022.112845). In this international project, he also led a systematic review on metabolomics analysis in the same journal (DOI: 10.1016/j.biopha.2023.115775).
Figure. Integrative network graph depicting correlations derived from regularized canonical correlation analysis between ayahuasca alkaloids, ayahuasca-induced subjective effects, metabolic markers and behavioural data.

Figure. Heatmap analysis performed by using regularized canonical correlations analysis showing the relation between ayahuasca alkaloids and ayahuasca-subjective effects against metabolomic dataset, after the intake of ayahuasca.

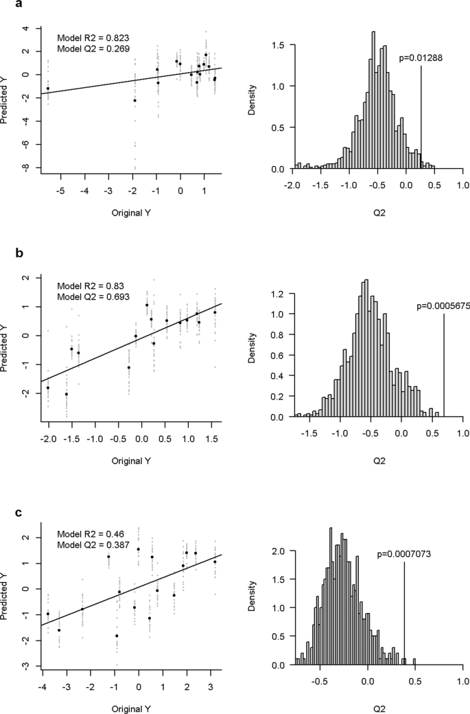
As computational scientist, Francisco co-first authored investigation in data integration by means of a N-integration with Projection to Latent Structures model to study the relationship of metabolism and sperm quality, function and fertility, Communications Biology (IF 2022: 5.9, ranking Biology 12/92. DOI: 10.1038/s42003-023-04715-3). This project aimed to predict the rate of insemination success and in vitro fertilising ability.
Figure. Reduced-dimension feature vectors from projection are shown in the left, and permutation tests based on the prediction capability are depicted on the right. In the x-axis, PLS regression plots show original centred, reduced-dimension feature vectors from each principal component analysis. The values predicted by the models are displayed on the y axis. The slope is defined by the prediction capability values (Q2) tested through permutation tests. The vertical lines of permutation test plots indicate the Q2 values obtained in each block.

Figure. Integrative network graph depicting correlations derived from the N-integration with projection to latent structures between blocks.

- Data scientist
01/10/2018 - 31/03/2020
Institute for Bioengineering of Catalonia (IBEC)
The Institute for Bioengineering of Catalonia (IBEC) is an institution engaged in basic and applied research in bioengineering and nanomedicine, with experts working on tissue regeneration, biomechanics, molecular dynamics, biomimetics, drug delivery, organs ‘on-a-chip’, cell migration, stem cells, artificial olfaction and microbial biotechnology. The institute was created by the Government of Catalonia, the University of Barcelona and the Polytechnic University of Catalonia in December 2005 and is located at the Barcelona Science Park.
Consultant for Nestlé Institute of Health Sciences (NIHS)
Achievements
Project with Nestlé Institute of Health Sciences for the develop of computational tools. The developed tool obtained the first-prize in poster presentation at the international “Metabomeeting 2020” conference, Toulouse.
https://www.bioconductor.org/packages/release/bioc/html/AlpsNMR.html
https://www.rfmf.fr/prix-poster/
- Postdoctoral Researcher
01/10/2017 - 31/09/2018
Royal College of Surgeon in Ireland
The Royal College of Surgeons in Ireland (RCSI) is a medical professional and educational institution, which is also known as RCSI University of Medicine and Health Sciences, Ireland’s first private university. It was established in 1784 as the national body for the surgical branch of medicine in Ireland, with a role in supervision of training, and as of 2021 provides a broad range of medical education in multiple countries.
https://www.sciencedirect.com/science/article/pii/S0006322319300642